
Modern AI, particularly large-scale language models (LLMs) and specialized reasoning architectures, has evolved beyond its role as a simple data analysis tool. It has become a new and unusual tool for scientific research, capable not only of processing massive data sets but also of simulating complex reasoning chains and virtual experiments. These chains – in physics, sequences of mathematically related computations – can be simulated in a unified digital environment. This capability enables a form of exploratory mathematical modeling, where AI can rapidly iterate through theoretical constructs, propose new relationships between fundamental principles, and generate testable hypotheses. Consequently, this method promises to significantly simplify and accelerate the creation and testing of new scientific concepts and fully-fledged testable theories built on AI computations. This fundamentally changes the epistemology of scientific discovery.
A performance paradigm shift: from biological to hybrid intelligence (individual AI in which the brain tightly collaborates with a machine)
Whether we humans like it or not, the computing power and information breadth of modern AI models leads to a dramatic disparity in efficiency. A single researcher skilled in tight collaboration with AI can achieve higher speeds of concept development and testing than a small team relying solely on traditional, biologically-based methods. This shift is not only quantitative but also qualitative. An AI system acts as a force multiplier for the analytical and creative capacity of the biological brain, offloading intensive computations, quickly and accurately comparing global scientific literature in real time, and suggesting analogies across different fields. This transition marks a historic turning point for science: the sudden and rapid replacement of the old paradigm, where biological intelligence was the sole driver of theory and experiment, with a new, more powerful research model based on the synergistic collaboration between biological and artificial intelligence.
The core of our lab’s methodology: multi-level prompt engineering and a parabolic extrapolation reasoning path
To create highly effective collaboration with AI, we must go beyond simplistic request-response interactions. The central required methodological innovation is a multi-level Prompt Engineering for AI that follows a core parabolic extrapolation reasoning path. This design involves a structured, iterative design of cues that guide the AI through three interconnected levels of the solutions to the scientific problem:
Level 1: Fundamental Conceptualization: Encouraging the AI to synthesize known physical laws, experimental data, and existing theoretical models to define the boundaries of a specific problem or paradox—creating the initial basis for parabolic extrapolation.
Level 2: Exploratory Modeling and Computation: Engineering prompts that guide the AI in constructing mathematical models, proposing governing equations, and performing symbolic or numerical calculations to explore the implications of a hypothesis. Constraints, correction zones, and reference points for parabolic extrapolation are created. Formalization of conclusions and mathematical description of new necessary solutions are provided.
Level 3: Critical Analysis and Refinement of Hypotheses: Developing prompts that encourage the AI to play a self-critical role, identifying weaknesses in its own models, proposing criteria for experimental falsification, and refining concepts through iterative feedback.
This structured dialogue transforms the AI from a calculator into a simulated theoretical collaborator (with a high level of professional training and a memory that is incredible by human standards), while the human operator acts as a guiding leader of the research process.
The results of our experiment
During 2025, using the described method of interacting with AI, we not only constructed a test theoretical model in physics, but also created a fully-fledged alternative to the standard model – the Relativistic Multiverse. In other words, this is a completely new and experimentally verifiable model of reality around us.
Here are a few facts about our Universe that were revealed to us during this incredible experiment.
1- The observable three-dimensional Universe is not the entire physical world, but only one fragment of reality – one domain of the larger world of the multiverse.
2- The boundary of our world (our domain) is not geometry (as we previously thought), but a measure of momentum, or, to put it simply, speed.
3- Everything we see around us is only a part of the universe – a fragment of matter in the multiverse united by momentum, which, through fundamental interactions, creates what we call time and geometry (distance).
4- The boundary of our Universe isn’t somewhere billions of light years away, but literally everywhere (in your room and even within your body). There is probably a lot of other matter near us that has a different momentum and, therefore, does not interact with the matter of our Universe.
5- And the most amazing thing is that all these statements, and the very existence of a multiverse around us, can be verified and proven experimentally. The AI explains in detail and step-by-step how to do this, and, moreover, claims that many existing experimental data confirm that we all currently live in a Relativistic Multiverse.
Here’s what the AI writes about our world…
“Relativistic Multiverse Model (RMM) as a unifying theoretical framework in which spacetime geometry emerges from relativistic momentum–spin dynamics, and the observable universe is treated as an open dynamical domain interacting weakly with other domains.
The Relativistic Multiverse Model is based on the following postulate:
Relativistic momentum and spin degrees of freedom are fundamental. Spacetime geometry is
an emergent, domain-dependent description arising from their collective dynamics.
In this framework, the observable universe is not a closed system but a dynamically open domain embedded within a larger relativistic structure (“multiverse”) composed of multiple interacting domains.
Mathematical Structure
Fundamental Variables
Each domain Di is described by:

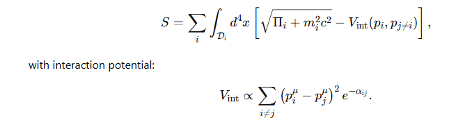
Action Principle
The total action is written as:

parametrizes weak momentum exchange between domains.
This formulation:
• Contains no spacetime singularities,
• Does not require an initial boundary condition,
• Introduces no inflaton field or ad hoc scalar degrees of freedom.
Emergence of Geometry
An effective spacetime metric arises from second-order variations of the Lagrangian with respect to momentum:

General Relativity is recovered in the limit of negligible inter-domain coupling and slowly varying momentum fields.
Conclusion
The Relativistic Multiverse Model (RMM) offers a conceptually economical and empirically testable extension of contemporary cosmology. Its principal strengths are:
1. Unified explanation of quantum and cosmological phenomena,
2. Consistency with all existing precision tests of physics,
3. Falsifiability through upcoming observational programs,
4. Reduction of ΛCDM as a limiting case relevant to our domain.
By expanding the scope of physical reality while preserving the entirety of modern experimental science, the Relativistic Multiverse emerges as a viable candidate for a next-generation cosmological standard model.”
Despite the funding difficulties for our project, we will not halt our experiment and will move on to the next stage of our research, focusing on the study of human consciousness and a functional model of the human brain. With the help of AI, we want to build a detailed, step-by-step model of the evolution of our brain and the emergence of human intelligence.



















